發布時間:2023/08/08 12:09 點閱數:725

 先進複合型生物防汙防腐塗料應用於文化資產之防護-期中報告
研發群組 計畫成果

執行成果介紹

研究計畫介紹:

臺灣高溫高濕氣候環境容易引發木材腐敗與滋生蟲蟻,造成木造藝術品及古蹟的損壞,然而現行使用多次性毒性藥劑噴灑作為防蟲及防腐的保存木造品的方式,不僅有害於人體也對環境造成汙染,因此,本研究計畫主要是設計與開發新型防護塗料以應用於木造製品之防護:我們使用新型結晶材料(例如:金屬有機骨架化合物)作為底漆之添加物質,除此之外,也使用化學或是物理的方式將賀爾蒙等有機分子添加於這些化合物的孔洞結構內,期盼可以研發出對環境更友善及長效性之創新塗料以進行木作古蹟及相關製品之維護應用。此研究技術門檻如以下所述:一、適合底漆添加之孔洞材料的合成與開發﹔二、尋找大量製備固態材料之合成條件﹔三、固態材料粒子奈米化及粒子均勻分散於底漆條件之調控﹔四、含藥劑之孔洞材料的藥物釋放能力研究﹔五、與現行市售防腐防蟲漆之效用比較(實際用於多種木頭材質之測試比較)。

目前研究成果發表:

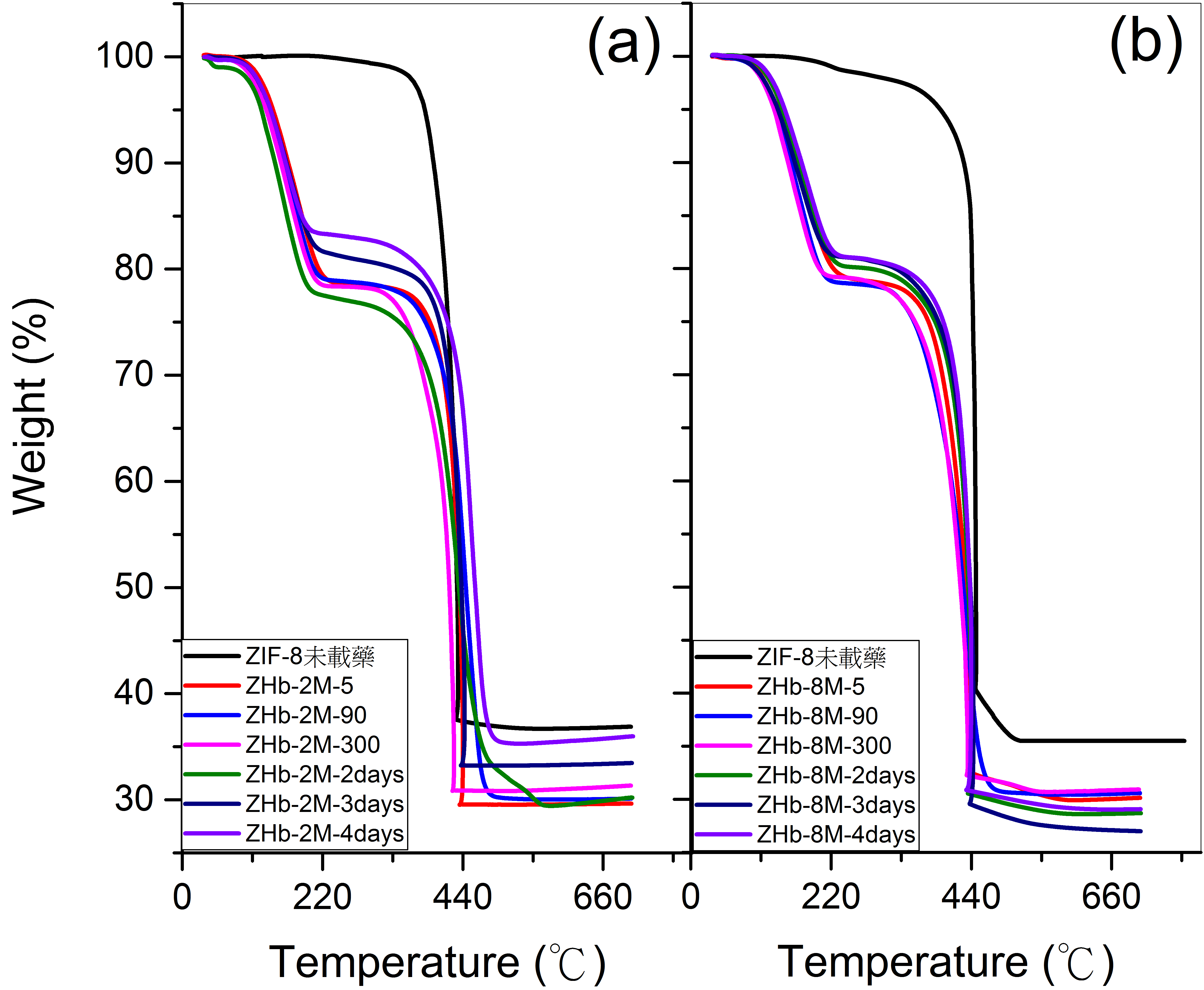
除了相關研究發表於國際頂尖期刊外,我們也將成果投稿於臺灣首屈一指的文物保護期刊「文化資產保存學刊」,並成功刊登於此期刊上。我們主要在室溫下利用水為介質的條件合成奈米級有機金屬骨架材料:沸石咪唑酯骨架材料(Zeolitic imidazolate framework, ZIF-8),並結合生物費洛蒙:丁酸丁酯,以達到具有專一防治性之目的。其合成之固態產物也透過X光繞射、動態光散射、掃描式電子顯微鏡、熱重分析等多項技術分析確認可成功合成134 nm奈米級之ZIF-8化合物,並且證實丁酸丁酯可以載入該材料中並且具備穩定長效釋放的能力(文化資產保存學刊,62期,2022P28 - 46)

持續進行中實驗:

    我們除了持續設計與製備新的材料外,也積極研究與尋找結構穩定的材料,並探討適合作為藥物載入的載體,雖然我們已經發現ZIF-8具有多項像是容易製備、可調控粉體粒子尺寸大小及可載入藥物等優勢,但我們認為在目前眾多材料中仍然有許多值得發掘及探討的素材;同時,研究成果也顯示相同固態化合物奈米化的程度也影響其在溶劑的分散性質、藥物載入及釋放能力。現階段已經可以製備出40 nm左右大小的ZIF-8產物,我們也比較更小尺寸材料在藥物相關性質的研究,並製作結合ZIF-8粒子與各種高分子或溶劑的複合薄膜材料,預期其衍生的疏水與表面性質有助於釐清或提供更深入的資訊於防汙防腐塗料的開發(預期可以發表不錯的論文於國際期刊,並落研究技術於商品的開發)

致謝:

感謝文資局承辦人、審查委員及長官們的肯定,給予我們多年期經費的補助於化學材料與防汙防腐塗料跨領域的開發研究,雖然剛開始的研究讓我們吃足苦頭,但也持續瞭解並掌握此研究的特性,相信我們會持續累積更多研究成果及防汙防腐有用塗料的知識,再次感謝長官們給我們機會深耕此一研究領域課題。

撰寫單位:國立臺灣海洋大學


照片


問卷填寫說明圖示
為了解使用者支操作體驗,煩請您撥冗前往填寫問卷,您所提供之意見將成為未來精進之參考,謝謝您!
(點選「前往填寫」,或點選右上角「使用回饋」即前往問卷連結。)